1 分级基金指什么
分级基金(也称结构型基金或分级证券投资基金),指在一个投资组合下,通过分解基金的收益或净资产,得到风险收益有一定区别的两级或多级基金份额。

2 分级基金的运作和募集途径
(1)封闭式分级基金
封闭式分级基金可通过场内和场外两种方式募集基金份额,场内通过具备基金代销业务资格的会员单位发售,场外通过基金的直销和代销网点发售。发售期结束后,基金份额按照基金合同中约定的比例自动拆分成稳健份额和进取份额,两类份额可上市交易,但不能申购与赎回,两类份额资产放在一起运作,按照事先约定的方式分配收益。
(2)半封闭式分级基金
目前半封闭式分级基金大多数是债券型证券投资基金,两类份额分幵募集。投资者可以同时认购两类份额或选择两类份额中的一类认购。一般情况下,稳健份额可通过场外认购,进取份额在场外或场内均可认购。
(3)开放式基金
开放式分级基金可通过场内和场外两种方式募集基金份额,场内通过具备基金代销业务资格的会员单位发售,场外通过基金的直销和代销网点发售。基金募集完成后,场内认购的基金份额会依据基金合同中约定的比例自动拆分成进取份额和稳健份额,场外认购的基金份额全部为基础份额,因此开放式分级基金包含基础份额、进取和稳健份额三部分,并且资产不是单独而是放在一起运作。
3 分级基金的杠杆倍数
3.1初始杠杠
初始杠杆指分级基金发行时所具有的杠杆倍数,定义为稳健份额配比数加上进取份额配比数与进取份额配比数的比值,即初始杠杆指分级基金发行时所具有的杠杆倍数,定义为稳健份额配
比数加上进取份额配比数与进取份额配比数的比值,即

其中:ρ为初始杠杆,NA为稳健份额配比数,NB为进取份额配比数。一般情况下,封闭式和开放式分级基金的初始杠杆始在基金发行后始终保持不变,半封闭式分级基金的初始杠杆在基金发行后会有一定幅度的变化。虽然幵放式分级基金具有配对转换机制,但是A、B两类份额的比例始终保持不变,所以开放式分级基金的初始杠杆始终保持不变。半封闭式分级基金的类份额因在开放期间接受投资者的申购与赎回而发生变化,所以其初始杠杆在基金发行之后会有一定幅度的变化。
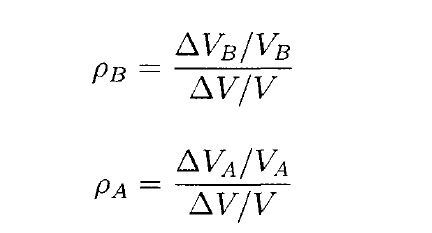
3.2净值杠杆
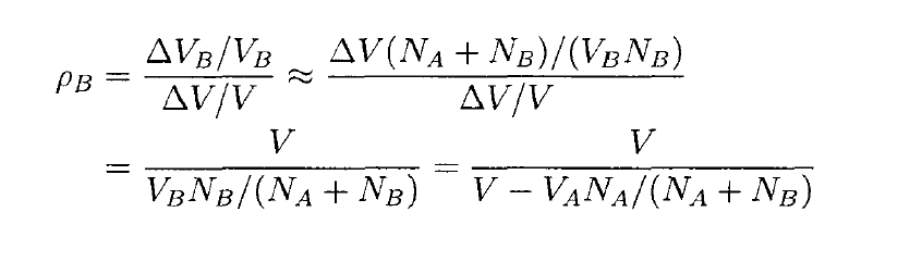
净值杠杆是投资分级基金时经常考虑的指标,定义为基础份额的净值每变化一个百分点,进取份额(或稳健份额)的净值会随其变化的百分点数。

其中:ρB为取份额的净值杠杆,ρA为稳健份额的净值杠杆,V为基础份额的净值,VA为稳健份额的净值,VB为进取份额的净值。因为大部分分级基金的A类份额有一个年基准收益率,其净值是一个自变量为时间的函数,因此可以粗略地认为在B类份额净值触及某一固定值之前,A类份额的净值和B类份额的净值、母基金的净值没有关系,B类份额净值的变化量近似等于母基金净值的变化量,所以有下面式子成立

参考资料:靳永攀——《分级基金定价和套利的实证研究》